Skip to content Skip to sidebar Skip to footer

Widget HTML #1

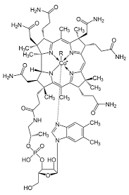
Vitamin B12 Structure - Biosynthesis Of Vitamin B12 Factor Iv A New Intermediate In The Anaerobic Pathway Pnas - Vitamin b12 has the largest and most complex chemical structure of all the vitamins.

Vitamin B12 Structure - Biosynthesis Of Vitamin B12 Factor Iv A New Intermediate In The Anaerobic Pathway Pnas - Vitamin b12 has the largest and most complex chemical structure of all the vitamins.. Vitamin b12 deficiency causes pernicious anemia, megaloblastic anemia, and neurologic lesions. Elevated homocysteine levels in blood are a risk factor for (more information). Plants contain no vitamin b12 but ruminal and intestinal bacteria can synthesize adequate amounts when sufficient (approximately 0.1 mg cobalt per kg diet dry matter) cobalt is available. Vitamin b12 consists of a large ring structure similar to porphyrin with a cobalt atom in its centre. Cyanocobalamin and hydroxocobalamin are synthetic forms of vitamin b12.

Vitamin b12 has the largest and most complex chemical structure of all the vitamins. Elevated homocysteine levels in blood are a risk factor for (more information). It is unique among vitamins in that it contains a. Vitamin b12 and folate are important for homocysteine metabolism. It is one of eight b vitamins.

Vitamin Png Vitamin B Comparison Simple Vitamin B12 Structure 1251015 Vippng
Vitamin Png Vitamin B Comparison Simple Vitamin B12 Structure 1251015 Vippng from www.vippng.com
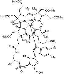
Cyanocobalamin and hydroxocobalamin are synthetic forms of vitamin b12. It is one of eight b vitamins. Vitamin b12 and folate are important for homocysteine metabolism. Vitamin b12 consists of a large ring structure similar to porphyrin with a cobalt atom in its centre. Vitamin b12 deficiency causes pernicious anemia, megaloblastic anemia, and neurologic lesions. Elevated homocysteine levels in blood are a risk factor for (more information). Plants contain no vitamin b12 but ruminal and intestinal bacteria can synthesize adequate amounts when sufficient (approximately 0.1 mg cobalt per kg diet dry matter) cobalt is available. The total synthesis of the complex biomolecule vitamin b12 was accomplished in two different approaches by the collaborating research groups of robert burns woodward at harvard and albert eschenmoser at eth in 1972.

Vitamin b12 consists of a large ring structure similar to porphyrin with a cobalt atom in its centre.

Vitamin b12 consists of a large ring structure similar to porphyrin with a cobalt atom in its centre. Plants contain no vitamin b12 but ruminal and intestinal bacteria can synthesize adequate amounts when sufficient (approximately 0.1 mg cobalt per kg diet dry matter) cobalt is available. Cyanocobalamin and hydroxocobalamin are synthetic forms of vitamin b12. Vitamin b12 deficiency causes pernicious anemia, megaloblastic anemia, and neurologic lesions. The total synthesis of the complex biomolecule vitamin b12 was accomplished in two different approaches by the collaborating research groups of robert burns woodward at harvard and albert eschenmoser at eth in 1972. Vitamin b12 has the largest and most complex chemical structure of all the vitamins. Elevated homocysteine levels in blood are a risk factor for (more information). It is unique among vitamins in that it contains a. It is one of eight b vitamins. Vitamin b12 and folate are important for homocysteine metabolism.

It is unique among vitamins in that it contains a. Elevated homocysteine levels in blood are a risk factor for (more information). Vitamin b12 consists of a large ring structure similar to porphyrin with a cobalt atom in its centre. Plants contain no vitamin b12 but ruminal and intestinal bacteria can synthesize adequate amounts when sufficient (approximately 0.1 mg cobalt per kg diet dry matter) cobalt is available. Cyanocobalamin and hydroxocobalamin are synthetic forms of vitamin b12.

Biosynthesis Of Vitamin B12 Factor Iv A New Intermediate In The Anaerobic Pathway Pnas
Biosynthesis Of Vitamin B12 Factor Iv A New Intermediate In The Anaerobic Pathway Pnas from www.pnas.org
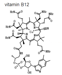
Vitamin b12 and folate are important for homocysteine metabolism. Vitamin b12 consists of a large ring structure similar to porphyrin with a cobalt atom in its centre. The total synthesis of the complex biomolecule vitamin b12 was accomplished in two different approaches by the collaborating research groups of robert burns woodward at harvard and albert eschenmoser at eth in 1972. Cyanocobalamin and hydroxocobalamin are synthetic forms of vitamin b12. Vitamin b12 deficiency causes pernicious anemia, megaloblastic anemia, and neurologic lesions. Plants contain no vitamin b12 but ruminal and intestinal bacteria can synthesize adequate amounts when sufficient (approximately 0.1 mg cobalt per kg diet dry matter) cobalt is available. Elevated homocysteine levels in blood are a risk factor for (more information). Vitamin b12 has the largest and most complex chemical structure of all the vitamins.

Vitamin b12 deficiency causes pernicious anemia, megaloblastic anemia, and neurologic lesions.

Vitamin b12 deficiency causes pernicious anemia, megaloblastic anemia, and neurologic lesions. It is one of eight b vitamins. Plants contain no vitamin b12 but ruminal and intestinal bacteria can synthesize adequate amounts when sufficient (approximately 0.1 mg cobalt per kg diet dry matter) cobalt is available. Elevated homocysteine levels in blood are a risk factor for (more information). Vitamin b12 and folate are important for homocysteine metabolism. Vitamin b12 has the largest and most complex chemical structure of all the vitamins. It is unique among vitamins in that it contains a. The total synthesis of the complex biomolecule vitamin b12 was accomplished in two different approaches by the collaborating research groups of robert burns woodward at harvard and albert eschenmoser at eth in 1972. Cyanocobalamin and hydroxocobalamin are synthetic forms of vitamin b12. Vitamin b12 consists of a large ring structure similar to porphyrin with a cobalt atom in its centre.

The total synthesis of the complex biomolecule vitamin b12 was accomplished in two different approaches by the collaborating research groups of robert burns woodward at harvard and albert eschenmoser at eth in 1972. Vitamin b12 deficiency causes pernicious anemia, megaloblastic anemia, and neurologic lesions. Vitamin b12 has the largest and most complex chemical structure of all the vitamins. It is unique among vitamins in that it contains a. Elevated homocysteine levels in blood are a risk factor for (more information).

Vitamin B12 Or Cyanocobalamine What Is Vitamin B12 Or Cyanocobalamine About Its Science Chemistry And Structure
Vitamin B12 Or Cyanocobalamine What Is Vitamin B12 Or Cyanocobalamine About Its Science Chemistry And Structure from www.3dchem.com
Vitamin b12 has the largest and most complex chemical structure of all the vitamins. Cyanocobalamin and hydroxocobalamin are synthetic forms of vitamin b12. It is one of eight b vitamins. The total synthesis of the complex biomolecule vitamin b12 was accomplished in two different approaches by the collaborating research groups of robert burns woodward at harvard and albert eschenmoser at eth in 1972. It is unique among vitamins in that it contains a. Elevated homocysteine levels in blood are a risk factor for (more information). Plants contain no vitamin b12 but ruminal and intestinal bacteria can synthesize adequate amounts when sufficient (approximately 0.1 mg cobalt per kg diet dry matter) cobalt is available. Vitamin b12 deficiency causes pernicious anemia, megaloblastic anemia, and neurologic lesions.

Vitamin b12 has the largest and most complex chemical structure of all the vitamins.

Vitamin b12 and folate are important for homocysteine metabolism. Vitamin b12 consists of a large ring structure similar to porphyrin with a cobalt atom in its centre. Elevated homocysteine levels in blood are a risk factor for (more information). It is one of eight b vitamins. It is unique among vitamins in that it contains a. Cyanocobalamin and hydroxocobalamin are synthetic forms of vitamin b12. Plants contain no vitamin b12 but ruminal and intestinal bacteria can synthesize adequate amounts when sufficient (approximately 0.1 mg cobalt per kg diet dry matter) cobalt is available. The total synthesis of the complex biomolecule vitamin b12 was accomplished in two different approaches by the collaborating research groups of robert burns woodward at harvard and albert eschenmoser at eth in 1972. Vitamin b12 deficiency causes pernicious anemia, megaloblastic anemia, and neurologic lesions. Vitamin b12 has the largest and most complex chemical structure of all the vitamins.